新民油厂用100千克花生榨出花生油35千克。平均每千克花生可榨出花生油多少千克?要榨出1千克花生油需要多少千克花生?
取消
当前位置:
首页
>
小学奥数题
>
小学五年级奥数题
>
平均数问题大全及答案
题目与解析
问题
新民油厂用100千克花生榨出花生油35千克。平均每千克花生可榨出花生油多少千克?要榨出1千克花生油需要多少千克花生?
答案与解析
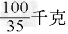
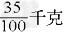
35÷100=
,100÷35=
关注公众号回复:奥数答案
即可免费获得密码查看答案
密码错误
查看答案
微信搜索天才奥数关注公众号
手机扫码关注公众号
查看答案
查看答案
密码错误
上一题:
奥运夜,空中燃放了29个“大脚印”,共有928处焰火点,平均每个“大脚印”有几处焰火点?
下一题:
3米平均分成5份每份是______米,用小数表示是______米,一份占3米的______.
热题推荐
王强从A地到B地,先骑自行车行完全程的一半,每小时行12千米。剩下的步行,每小时走4千米。王强行完全程的平均速度是每小时多少千米?
2021-09-07
幼儿园小班的20个小朋友和大班的30个小朋友一起分饼干,小班的小朋友每人分10块,大班的小朋友每人比大、小班小朋友的平均数多2块。求一共分掉多少块饼干?
2021-09-07
两地相距360千米,一艘汽艇顺水行全程需要10小时,已知这条河的水流速度为每小时6千米。往返两地的平均速度是每小时多少千米?
2021-09-07
小亮在期末考试中,政治、语文、数学、英语、自然五科的平均成绩是89分,政治、数学两科平均91.5分,政治、英语两科平均86分,英语比语文多10分。小亮的各科成绩是多少分?
2021-09-07
小明前几次数学测验的平均成绩是84分,这次要考100分,才能把平均成绩提高到86分。问这是他第几次测验?
2021-09-07
把五个数从小到大排列,其平均数是38。前三个数的平均数是27,后三个数的平均数是48。中间一个数是多少?
2021-09-07
五一班同学数学考试平均成绩91.5分,事后复查发现计算成绩时将一位同学的98分误作89分计算了。经重新计算,全班的平均成绩是91.7分,五一班有多少名同学?
2021-09-07
某3个数的平均数是2.如果把其中一个数改为4,平均数就变成了3。被改的数原来是多少?
2021-09-07
一次数学测验,全班平均分是91.2分,已知女生有21人,平均每人92分;男生平均每人90.5分。求这个班男生有多少人?
2021-09-07
有4箱水果,已知苹果、梨、橘子平均每箱42个,梨、橘子、桃平均每箱36个,苹果和桃平均每箱37个。一箱苹果多少个?
2021-09-07
相关题库
小学五年级数学题大全及答案
小学六年级数学题大全及答案
脱式计算问题大全及答案
小学四年级数学题大全及答案
小学二年级数学题大全及答案
分数的加减混合计算及应用题大全及答案
摸球问题大全及答案
20以内的加减法口算练习题
分数除法及应用题大全及答案
小学三年级数学题大全及答案
热门试卷
一年级上册
四年级下册
五年级下册
六年级上册
四年级上册
六年级下册
三年级下册
五年级上册
三年级上册
一年级下册