用竖式计算.6452+4758294830-1765923800+54687.
取消
当前位置:
首页
>
小学数学题
>
小学四年级数学题
>
小学四年级数学题大全及答案
题目与解析
问题
用竖式计算.
6452+4758
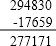
294830-17659
23800+54687.
答案与解析
6452+4758=11210
294830-17659=277171
23800+54687=78487
关注公众号回复:奥数答案
即可免费获得密码查看答案
密码错误
查看答案
微信搜索天才奥数关注公众号
手机扫码关注公众号
查看答案
查看答案
密码错误
上一题:
计算:3197+2341+6803+7659______.
下一题:
把两个数______成一个数的运算,叫作加法.
热题推荐
公园入口摆放了一个方阵花坛,花坛的最外一层每边各摆放了7盆花,问最外层共摆了多少盆花?
2021-08-13
笔直的马路一旁插着31面小旗,它们间隔是5米,在路程不变的情况下增加25面小旗,问小旗之间的间距要改为多少米?
2021-08-13
塑胶跑道的一周是400米,沿着跑道四周安装照明灯,间隔80米安装一盏,问操场上需要多少盏照明灯?
2021-08-13
从甲地到乙地一共设有25座路灯,相邻两座路灯之间的距离是200米,问甲地与乙地之间相距多少米?
2021-08-13
7路公交车行驶路线全长10千米,两个公交站之间相距1千米,问这条线上有多少个公交站台?
2021-08-13
钟楼上的大钟6时敲6下,10秒钟敲完,11时敲11下,需要多长时间敲完?
2021-08-13
同学们进行早操活动,三年级学生排成方阵,最外层每边站了12人,最外层一共有几人,整个三年级方阵共有多少人?
2021-08-13
要在六边形的水池旁边摆上盆栽,要使每一边都有5盆盆栽,最少需要几盆盆栽?
2021-08-13
24名学生在操场上做游戏。大家围成一个正方形,每边人数相等。四个顶点都有人,每边各有几名学生?
2021-08-13
一根木头长9米,把它平均分成一米长的木头,需要几次?假设每锯一段需要5分钟,锯完这根木头需要多长时间?
2021-08-13
相关题库
小学五年级数学题大全及答案
小学六年级数学题大全及答案
脱式计算问题大全及答案
小学四年级数学题大全及答案
小学二年级数学题大全及答案
分数的加减混合计算及应用题大全及答案
摸球问题大全及答案
20以内的加减法口算练习题
分数除法及应用题大全及答案
小学三年级数学题大全及答案
热门试卷
一年级上册
四年级下册
五年级下册
六年级上册
四年级上册
六年级下册
三年级下册
五年级上册
三年级上册
一年级下册